There are three parts to this project:
- Find Vanishing Points
- Camera Calibration
- Render Aruco Tag Generated AR Box
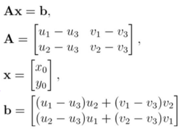
First, the coordinates of the picture origin and vanishing points were manually detected and recorded. The points were then used to compute an A and b matrix that would be used to solve the equation Ax=b. The resulting 2x1 vector x, would represent x0and y0, the principal point. The equations are represented below.
The focal point was found using using the following equation.
The blue circles represent the intersection of vanishing lines, or in other words, the vanishing points.
This part of the project used the Aruco tags found in the cv2 Python library. One must generate a chessboard of Aruco tags as shown below, take pictures of the Arcuo chessboard with varying distance and angles with respect to the chessboard, and pass all images into this program to calibrate the camera.
The pictures used to calibrate the camera are placed in the calibration_pics folder.
After the camera has been calibrated, the same camera should be used to take one picture of an Aruco tag. We will project a cube on top of the tag, as shown below.




