GRFsaw is a simple software for artificially constructing binary microstructures (in two or three spatial dimensions) with user-defined
- porosity (solid volume fraction)
- heterogeinity ("grain" size distribution)
- anisotropy (preferred "grain" elongation)
It is based on thresholding Gaussian random fields (GRFs).
Several post-processing schemes are available for
- computing the angular-averaged two-point correlation function using Fast Fourier Transforms
- computing the one-dimensional two-point correlation function in different directions
- finding the spanning (percolating) cluster(s) using the Burning Method
- finding the shortest path through the structure
- plotting and visualizing in 2D and 3D
- saving structures as CSV- or VTK-files
This code relies only on the standard libraries numpy, scipy, matplotlib and multiprocessing
Use of PyVista is optional, but needed for visualizing 3D microstructures and saving structures as VTK-files.
Tested on Python >= 3.6.
from grfsaw.microstructure import Microstructureshape = [200, 200]
solid_fraction = 0.65
m = Microstructure(shape, solid_fraction)
m.create()
m.plot()These are all the options the user may specify for the desired microstructure.
Only two parameters are required, shape and phi, the rest are given their default values below:
shape = <REQUIRED> # list of 2 (if 2D structure) or 3 (if 3D) integers
# the size of the structure as number of mesh points in each direction
phi = <REQUIRED> # float
# desired solid volume fraction = 1 - porosity
folder = "output/" # str
# name of directory to save data and plots
single_cut = True # boolean
# decides if generate single-cut or double-cut structure
N = 10000 # int
# number of waves to use, the more the better but slower
distr = 'n' # char
# type of distribution to use for wavevector magnitude sampling,
# 'n' for normal or 'g' for gamma distribution
m_mean = 3 # float
# average number of microstructural elements per length in the x-direction
# = a measure of the grain size of the structure
m_std = 0.001 # float
# the standard deviation of m
anitype = 'i' # char
# type of preferred orientation (type of anisotropy)
# 'h' for horizontal or 'v' for vertical, anything else means fully isotropic
a = 1 # float
# measure of the anisotropy level between 0 and 1, meaning isotropic (default 1)
seed = numpy.random.randint(1, 1e5) # int
# seed for RNG
procs = multiprocessing.cpu_count() # int
# number of cpus to use for the computations (default is all cpus on computer)
m = Microstructure(shape,
phi,
folder,
single_cut,
N,
distr,
m_mean,
m_std,
anitype,
a,
seed,
procs)From left to right (all using N = 10000 and distr = 'g'):
phi = 0.63,single_cut = True,m_mean = 13,m_std = 1.8,anitype = 'i'phi = 0.63,single_cut = True,m_mean = 13,m_std = 7.5,anitype = 'i'phi = 0.63,single_cut = True,m_mean = 13,m_std = 1.8,anitype = 'h',a = 0.6phi = 0.35,single_cut = False,m_mean = 9,m_std = 1.3,anitype = 'i'phi = 0.35,single_cut = False,m_mean = 9,m_std = 5.2,anitype = 'i'
Both structures: phi = 0.42, single_cut = True, N = 10000, distr = 'g', anitype = 'i' and m_mean = 9
Left: m_std = 1.3, Right: m_std = 5.2
In all the below methods, the argument cleaning (default False) refers to if you are using the cleaned version of the structure or not. In the cleaned version, all parts of the structure that do not belong to a spanning cluster have been removed.
In addition, the arguments figsize, dpi and fontsize refer to size, resolution and font size, respectively, of the plots to be generated.
m.create()
# creates the structures
m.save_parameters()
# saves setup parameters to file for future reference
m.save(cleaned=False, vtk=False)
# saves the structure as CSV-file or as VTK-file (if vtk=True)
m.plot(slicelist=[0], cleaned=False, figsize=(13, 8), dpi=100, fontsize=22)
# plots the structure, or, if 3D structure, a slices of the structuregiven by the arg slicelist
m.visualize_3d(cleaned=False, pyvista=True, from_file=False)
# visualizes the 3D structure using PyVista (if pyvista=True, recommended) or matplotlib
m.plot_distributions(figsize=(13, 8), dpi=100, fontsize=22)
# plots histograms of the samples of the wave lengths and direction
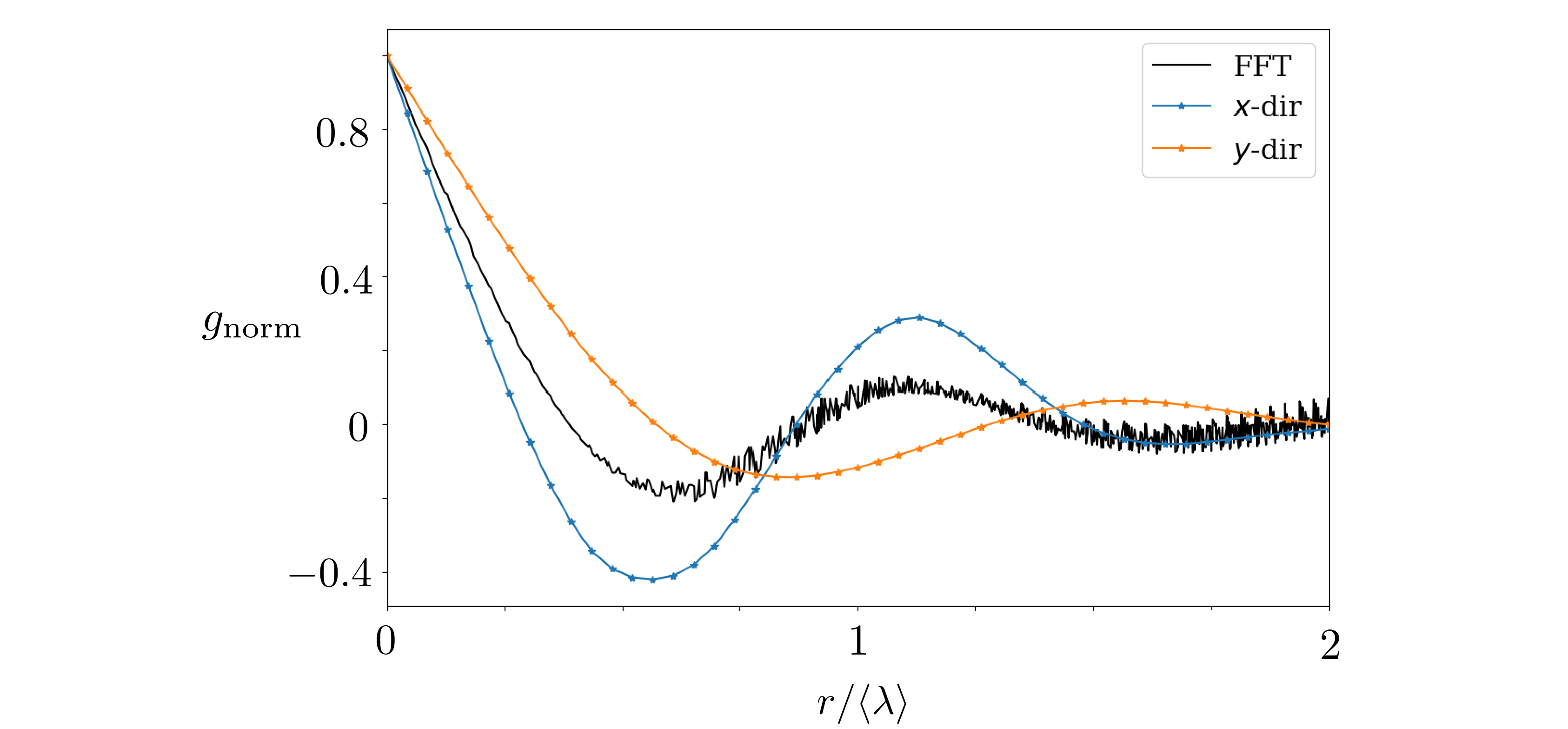
m.autocorrelation(cleaned=False, one_dim=False, figsize=(13, 8), dpi=100, fontsize=22)
# computes and plots the autocorrelation (two-point correlation) of the structure using FFT
# if one-dim=True, it also computes the 1D autocorrelation in the x-, y- and z-directions
m.find_shortest_path(cleaned=False)
# calculates the shortest path of the spanning cluster
m.cleaning()
# removes parts of the structure that do not belong to any side-to-side spanning clusters
m.analytic_ssa()
# calculates the analytic specific surface area per unit solid volume (SSA)The functions are further documented here: https://larsblatny.github.io/GRFsaw/
A microstructure before (left) and after (right) applying cleaning(). We see that stand-alone clusters are removed.

A plot of the two-point correlation function (aka spatial autocorrelation function) produced by autocorrelation(one_dim=True). The angular-averaged two-point correlation as obtained from FFT is plotted in black. This was a highly anisotropic structure, noticed by the differing 1D correlations in the x- and y directions.

Pull requests are welcome. Or feel free to open an issue to discuss what can be changed.
This code is licensed under the MIT License.
Please consider citing the methods used in this paper when making use of this software.
